1. Introduction
Issues of skewed gender representation in screen media, including advertising, film, and television, have been the focus of attention of the feminist movement and media scholars since the 1970s (see for example, Johnston; Mulvey). Recently, these issues have attracted wider attention due in part to the #metoo social movement in which notable producers, directors, actors, and other stars were alleged to have sexually abused or harassed their junior or dependent colleagues (Liddy). In addition to gender inequality, increasing attention is being paid to its intersections with race, age, and other forms of discrimination (both on and off-screen) (Conor).
The increasing attention to on-screen gender imbalance and the stereotypical representation of characters is also related to the growing understanding of its social consequences. Most important is the possible effect of media images on human behavior and in particular, on wider instances of gender discrimination (Aley and Hahn; 21st Century Fox and The Geena Davis Institute on Gender in Media, et al.). As a response to these concerns, some film industries have made small gestures to gender equality, for example backing films with stronger than previous female protagonists. Hollywood studios, for instance, have modified traditional franchise plots to enable greater diversity in their cast such as the more recent Star Wars movies (Lopez; Vainikka). However, a recent aggregate report on the top 100 grossing films in Hollywood sounds a note of caution. In 2021 the Centre for the Study of Women in Film and Television identified that women accounted for only 35% of major characters in the top 100 grossing films, down slightly from 38% in 2020 and 37% in 2019 (Lauzen 6). Women comprised only 34% of all speaking characters, also down slightly from 36% in 2020 (Lauzen 7). Although the percentage of films featuring women protagonists increased by 2 percentage points to 29% in 2021, this is well below the high of 40% achieved in 2019. The Centre’s report found that after two years of promising gains, 2021’s percentage of women protagonists was the same as in 2016 – the year before the start of the #MeToo movement (Lauzen 4–5). What seems on the surface to be an increase of women in substantial screen roles is not necessarily supported by the quantitative evidence. This paper similarly develops a quantitative approach to the problem of gender discrimination on screen with a unique focus on the Russian film industry.
To address on-screen gender imbalance and its dynamics quantitatively, several measurements have been offered (Kagan et al.; Kapoor et al.; Jones et al.) and their relation to film success has been estimated (Treme et al.; Lindner et al., “Million Dollar Maybe?”). The most popular index, the Bechdel-Wallace (BW) test (Bechdel), is a simple binary indicator (yes/no) of the presence of at least one conversation between two or more women touching on non-stereotypical topics. However, being binary, it provides no information about the actual proportion of non-stereotypical conversations or characters in the films. To address this limitation, in this paper, we propose a BW test modification (BWL) that scores films according to the share of conversations between women characters on qualified topics.
In its current form, the BW test has been widely used to study on-screen gender balance both in films from Western democracies (Agarwal et al.; Garcia et al.; Lindner et al., “Million Dollar Maybe?”; Lindner and Schulting) and, a lesser extent, beyond (Kapoor et al.). Likewise, as the collection of gender statistics on filmmakers is becoming a common practice of government agencies worldwide, behind-the-camera gender balance is also being increasingly studied with a variety of quantitative approaches based on the number of women in key positions in film crews, their access to large budgets and financial state support (Dean; Follows et al.; Liddy).
The study of gender in Russian cinema predominantly focuses on cinematic rather than sociological questions. The most notable study is Lynne Attwood’s 1993 edited collection, Red Women on the Silver Screen. In the first parts of this volume, both international and local researchers analyze the changing image of women in Soviet films from the standpoint of the perestroika era on the eve of the collapse of the USSR. The articles in the collection trace the evolution of the “woman question” from pre-revolutionary femmes fatales to the strong, joyful, purposeful, and confident workers of socialist realism in the 1930s and the various images of women in decades following. In the 1940s, selfless home front workers, and faithful wives awaiting their husbands from the war, appeared on the screens. In the 1950s, women acquired the everyday attractiveness of the “girl next door”. In the 1960s, they were reimagined as refined companions and even the occasional antagonists of men protagonists. In the 1970s, there were echoes of the Western second wave of feminism in Soviet films, with the conflict of the emancipated woman caught between career and personal life: either unsettled in love or overburdened with domestic duties, and typically caught in a vicious spiral of double exploitation. (Bulgakova) The ambiguity of women’s position in the Soviet Union was particularly evident during this time, especially in the comedies of Eldar Ryazanov (Rojavin and Harte). By the end of the 1980s and the beginning of the 1990s, the screens were flooded with sex and violence that had long been restrained by censorship.
The various authors of the perestroika anthology critically evaluate the cinema’s representation of women as a political proxy, a continuation of a long tradition of symbolically portraying the motherland through women. and extended in the Soviet era to exemplification of the state’s relationship with its citizens. The authors describe this portrayal as cynical and duplicitous, reflecting contempt for “woman-motherland” and the desire to humiliate her as a sublimation of the suppressed Soviet society over many years. (Drozdova; Attwood, “Part 1. Women, Cinema and Society’”)
Since this important publication, very little substantive research on women and the cinema has been available for Russia. One exception is a publication from 2021 that covers crossover art-mainstream films of the 2010s and observes that women’s cinema in this period shifted towards romanticizing traditional values as a general basis for its narratives. These films exploit the legitimacy of “female power in powerlessness” in the increasingly entrenched patriarchal discourse of the country. (Артюх).
For the most part, however, the Russian film-making community is broadly indifferent to the global gender agenda. Furthermore, a properly inclusive understanding of gender-related practices in the global film industry is only possible by analyzing large non-Western markets of which Russia is an important representative.
As of 2020, the first pandemic year, the Russian film industry amounted to approximately 360 feature film production companies (Леонтьева et al.) which released 110-186 films per year (Kanzler and Simone, “Focus 2022 World Film Market Trends”) and employed about 26,000 professionals (Leontyeva and Danilov). Russian audiences were enthusiastic film consumers. In 2017, Russia, with 212 million tickets sold, took first place in terms of cinema attendance in Europe, beating the previously permanent leader – France (209 million admissions) (Kanzler and Simone, “Focus 2022 World Film Market Trends”). Two years later, in 2019, Russia established a European record with around 220 million cinema tickets sold (Kanzler and Simone, “Focus 2020 World Film Market Trends”).
Given this, the absence of research on gender balance in Russian movies presents an obvious gap. This paper seeks to close it by offering a rigorous and comprehensive examination of gender inequality both on and off the screen in the Russian film industry in the pre-pandemic period (2008-2019). Specifically, we seek to establish the relationship between the gender composition of “key creative” crew members (producer, writer, and director), on-screen female representation (measured with a number of proposed methods, including BWL), and the theatrical admissions of the films. We also trace the dynamics of several gender-related processes in the Russian film industry. To do so, we use a complete database of all the Russian feature films shown on the big screen in Russia and in the Commonwealth of Independent States (CIS) between 2008 and 2019. Different subtasks employ different subsets of this database, including the sample of 243 films manually marked up using our BWL test.
The paper consists of six sections, including this introduction. The next section reviews the relevant literature and develops our hypotheses. The third section describes data and methods used in this article for measuring on-screen and behind-the-camera gender inequality. The fourth section presents the results of the analysis and their discussion. The paper ends with the Limitations and Conclusion sections.
2. Literature review and hypotheses
2.1. Measuring gender inequality in the production crew
Existing theories and practices of studying gender inequality in the film industry globally have been largely shaped by the respective research done by various non-government organizations promoting gender equality, including the Annenberg Foundation (S.L. Smith et al., “Inequality in 1,200 Popular Films: Examining Portrayals of Gender, Race/Ethnicity”; S.L. Smith et al., “Inequality in 1 ,300 Popular Films : Examining Portrayals of Gender”), the Geena Davis Institute (Stacy L. Smith et al.), the New York Film Academy (Perrone), the Center for the Study of Women in Television and Film (Lauzen), the International Federation of Actors (Dean), and the European Audiovisual Observatory that, unlike others, focuses on international comparisons (Fontaine; Simone). These various organizations produce both reports and databases that are subsequently widely reused by the academic community.
The focus of these reports is on the proportion of women among producers, directors, screenwriters, and sometimes composers and directors of photography (with the two latter professions demonstrating fewer women) (Simone). Among the three major film types, documentary film production was found to be the easiest for women to enter in all three “key creative” film crew roles (producer, writer, and director), followed by live-action fiction and animation films in the second and third positions, respectively (Simone). This effect is closely related to film budgets: the more expensive the production is, the smaller the share of women. Thus, the budget difference between fiction and documentary films in Austria in 2011-2013 was revealed to be especially important, with the gender gap higher in the former (Hetherington Raveney et al. 523). In Sweden in 2013-2017 films with men directors, producers, and writers were found to have budgets that were higher than those available for women by four, seven, and six million SEK, respectively (Wikstrand J. 11). British data from 2008-2014 showed that only 3.3% of films budgeted above 30 million GBP were directed by women, while among low and micro-budget films (under 500,000 GBP) women-directed works comprised 16% (Follows et al. 20). A French study has revealed that in 2008-2017 the average budget of women-directed films used to be 3.33 million EUR, against 5.7 million EUR for films directed by men (Piccon et al.). Moreover, Centre national du cinéma et de l’image animée found out that distribution budgets for women-directed films were lower by 34.4% (Piccon et al.). Verhoeven et al. using the data from 40 countries and 3.4 thousand films distributed between 2012 and 2015, proved poor access of women not only to funding but also to the screening infrastructure: in their sample, films directed solely by women accounted for only 3% of international screenings (Verhoeven et al. 140) (simultaneously, the number of screens for films made by mixed teams was 3-4 times higher than for those made solely by women (Verhoeven et al. 143–44)).
In the third part of the volume by Lynne Attwood, mentioned in the introduction, the behind-the-camera situation in Russian cinema was revealed via a historical perspective and a series of interviews with key Russian filmmakers from the perestroika era. Attwood and her co-authors pondered the concept of “women’s cinema” and traced the history of Russian female directors from Olga Preobrazhenskaya, who directed her first film in 1916, to Esther Shub, Darya Zhukova, Yulia Solntseva, and Margarita Barskaya, to Dinara Asanova, Larisa Shepitko, and Kira Muratova, many of whom were skeptical of the concept of “women’s cinema” per se and tried not to emphasize their gender. (Turovskaya) The following interviews testify to the blatant discrimination against women applying to study at the VGIK (the main Soviet film institute in Moscow) and the subsequent need to continually prove their worth during and after their education not only as professionals but also as women. The publication makes for dismal readings as women directors, cinematographers, and screenwriters reveal misogyny, survivor bias (some of them try to ignore discrimination against themselves or their colleagues), adaptability (using both professional and personal collaborations such as marriage to ensure an acting or screenwriting career), and stereotypical thinking (“Children must be born!”). They acknowledge the industry’s unsuitability for women who bear the burden of household chores and motherhood and yet show no signs of a feminist view of the problems. During a period of heightened instability and hopes, they were primarily concerned with the then-recent reform of the film industry, which abolished censorship and proclaimed the commercial freedom of film production and distribution (Vizitei; Attwood, “‘Some Interviews on Personal Questions...’: Soviet Women Talk About Their Experiences in the Film Industry’”).
Given how little emphasis has been placed on feminist interventions in Russian cinema neither the filmmaking community nor any respective institutions have been yet involved in the regular gathering of gender statistics. The first-ever statistical analysis of the share of women producers, directors, screenwriters, and directors of photography (DOP) in Russian cinema was carried out by the European Audiovisual Observatory. An especially small number of women has been revealed among DOPs: women dominated the creative teams of DOPs in less than 3% of films that were released theatrically in 2013-2017 (a female-dominated team was defined as a team with 50% or more of women on the position of DOP) (Leontyeva et al.). The proportion of films shot under the direction of women during the same period was 15.9%, while film crews dominated by women scriptwriters and producers comprised the largest share – about 22% each. The analysis of the extended version of this dataset spanning from 2009 to 2019 (Артюх 236–42) shows that women’s teams make cheaper films and receive less direct state support; it is not surprising that their films are less popular among the audiences.
As these studies use descriptive statistics only, in this paper we seek to test the revealed trends with inferential statistics by proposing the following hypotheses:
H1. The higher the proportion of women among filmmakers in key creative positions, the smaller the film budget is.
H2. The higher the proportion of women among filmmakers in key creative positions, the lower a film distributor’s power is.
H3. The higher the proportion of women among filmmakers in key creative positions, the lower the attendance of Russian films in the CIS is.
Additionally, we seek to test our Russia-specific assumptions concerning the changes in the Russian film community that took place around 2015. As we see a certain rise in attention to gender equality after 2015, we anticipate a decrease in the strength of the influence of men filmmakers on film popularity.
H4. After 2015 the (positive) effect of the proportion of men among filmmakers on theatrical attendance is smaller than before.
2.2. Measuring on-screen gender inequality – the Bechdel-Wallace test
As noted above, a popular simple method for examining gender bias on the screen is the Bechdel-Wallace test. It asks whether there are at least two women characters in the film, preferably with names, who talk to each other about something other than men (Bechdel). Shockingly, as much as 44% of Hollywood films fail to overcome this low threshold while only 56% meet one to three requirements (Bechdel Test Movie List). For Russia, the only available data for running this test has been on 75 films and TV shows collected in a journalism project by Konstantin Zarubin and Elizaveta Soldatova (А Бабы Здесь Тихие. Тестом Бехдель По Нашему Кино). Of these 75 films, 37% passed the test, and additionally, 20% were borderline – together they comprise a proportion similar to 56% that found for Hollywood films.
Several studies have pointed out the limitations of the BW test, which originated in a cartoon strip and was never intended to be a scholarly method. Amongst them is its inability to account for central or even non-stereotypical women characters who are not involved in dialogues with other women (Agarwal et al.). The test does not allow us to determine whether women characters are equally strong throughout the narrative or whether they are presented as atypical outliers (Jones), or even whether they simply talk more than once (Kagan et al.). Despite these shortcomings, the BW test is used not only in academic research but in industry practice as well. Thus, Eurimages, a European cinema support fund, is employing this test for monitoring gender bias in scripts submitted to its competition (“Eurimages’ Gender Equality Strategy (2021-2023): Equal Voices for Equal Talent”).
As a response to the criticism of the BW test, new methods for measuring gender centrality and marginality based on social network analysis (SNA) have been developed. Agarwal et al. propose 43 SNA features to classify films as gender balanced. Kagan et al. introduce the Gender Degree Ratio (GDR) indicator calculated as a ratio of the total female characters’ degree centrality to that of the male characters:
(1) G e n d e r d e g r e e r a t i o = T o t a l d e g r e e f e m a l e T o t a l d e g r e e m a l e
The authors propose films with 0.8> GDR> 1.2 to be considered balanced (Kagan et al. 8). Pete Jones (Jones; Jones et al.) criticizes static network metrics as unable to reflect the focus of viewer attention on the heroines in the context of the storyline. He suggests methods of dynamic network analysis accounting for the communication of characters during the entire film by calculating character centralities in each dialogue and by further plotting them as graphs of centrality by time.
The relationship between the gender of onscreen characters and the gender of the filmmaking teams that produce them is another fruitful area of analysis with calls for close attention to this phenomenon (Lindner et al., “Million Dollar Maybe?”). Researchers have previously noted that the gender of the filmmakers is directly related to the visibility of the female characters they portray (Smith and Choueiti; Linke and Prommer; S.L. Smith et al., “Inequality in 1,100 Popular Films: Examining Portrayals of Gender, Race/Ethnicity”). Based on these considerations our next hypothesis is:
H5. The higher the proportion of women among filmmakers, (a) the higher the centrality of female characters, and (b) the less stereotypical their representation is.
The benefits of increasing the number of women onscreen are manifold. From the social point of view, media images are influential in shaping people’s gender beliefs and behavior, for example, inspiring gender identifications from childhood (Aley and Hahn), and limiting the choice of career paths for girls (21st Century Fox and The Geena Davis Institute on Gender in Media, et al.). There are also debates on the economic benefits of enhancing the profile of women on screen. Shift7 and Creative Artists Agency (Shift7 and CAA), based on an analysis of 350 most popular studio films from 2014-2017, showed a positive relationship between passing the Bechdel-Wallace test and film box office, whereas Treme et al. have argued that the presence of a male star increased the box office in the home market by 12%, and a female star had no effect on the success of films from 1990 to 2010.
Lindner and Schulting and Lindner et al. examine the relation between Bechdel-Wallace test results and film performance among critics and audiences. They find that for wide audiences this relationship, initially negative, is rendered insignificant when film genre and budget size are introduced in the model. Consequently, according to Lindner, this initial negative relationship is explained not by the audience’s prejudices, but by the work of “gatekeepers” who protect the industry from expensive projects with strong female characters. Perhaps more surprisingly, Lindner notes that the critics’ assessments of films free from stereotypical female images are not hostile.
Developing the ideas of Lindner, we propose the following two additional hypotheses:
H6. (a) The higher the degree centrality of female characters and (b) the lower their stereotyping in dialogues is, the higher the attendance of Russian films in the CIS is.
H7. After 2015, the (positive) effect of (a) female centrality and (b) female character non-stereotyping on attendance is higher than before 2015.
A conceptual model of the hypotheses and variables relationships is presented in Fig. 1.
3. Method and data
3.1. Datasets and mark-up
We use a dataset (N=1285) that includes all Russian films produced between 2008 and 2019 and theatrically released between December 1, 2008, and December 31, 2019 (referred to as the full dataset). Distribution statistics cover the territory of the CIS of which the Russian Federation is the biggest market. Budget information is available for 644 films, and BWL test mark-up – for 243 films (further referred to as the marked-up dataset). Both of the latter subsamples are relatively evenly distributed through period the 12 years of our analysis (Fig. 2). The datasets alongside the detailed description of all variables are available in the supplement to the article at https://doi.org/10.7910/DVN/GDKOSR.
The sample for BWL markup was constructed to represent three types of films: blockbusters, moderately popular, and films of festival appeal, and additionally included 21 films that could not be categorized. Within this sample, a team of 94 volunteers chose the films for mark-up. The coders developed a contingency matrix of characters by scenes where the role of the former in the latter was coded as either speechless participation, communication on a qualified topic, or communication on one of the disqualified topics (about relationships between men and women, beauty, fashion, or about children and housekeeping).
The matrix was used as the input data to calculate the BWL score.
3.2. Variables
Main dependent variable
Attendance: the number of cinema tickets sold.
Other variables tested in hypotheses
Behind-the-scenes gender balance.DirMaleShare, ProdMaleShare, and ScrMaleShare are calculated as the proportion of males among all people in the position of director, producer, and screenwriter, respectively, for each film. The aggregated variable maleshare is an accumulated proportion of men in all three positions together. Binary sex (male or female) was identified automatically based on a list of male and female first names and the endings of surnames; it was also checked manually if needed.
Female representation on the screen is measured with BWL and gender degree ratio (Kagan et al.) calculated for two kinds of networks.
BWL(Bechdel-Wallace test modified by Leontyeva): proportion of dialogues among female characters on qualified topics in the total number of the film dialogues (formula 2). Being an extension of the initial Bechdel-Wallace (Lindner et al., “Million Dollar Maybe?”), BWL differs both from the classical binary variant and the four-point scale proposed by Agarwal et al. and Bechdel Test Movie List (https://bechdeltest.com/).
(2) B W L = N u m b e r o f d i a l o g u e s a m o n g f e m a l e c h a r a c t e r s o n q u a l i f i e d t o p i c s T o t a l n u m b e r o f t h e f i l m d i a l o g u e s
The disqualified topics were not only about men, as in the classical test, but also about women, beauty, fashion, attractiveness, children, and housekeeping. This definition of the set of stereotypical themes associated with women is based on a stream of prior research (Kapoor et al.). Mixed conversations, in which both disqualified and general topics were mentioned, were considered qualified. Only characters who participated in more than one scene (or in one, but important, according to the coder) and had at least one line of dialogue were marked up. Monologues were excluded.
The gender degree ratio (GDR) of a film is calculated from the bimodal network of characters and dialogues in which they participate throughout the entire movie. For this purpose, an unimodal weighted projection of this network is constructed where the vertices are characters only, and the arcs between each pair of vertices represent the number of dialogues in which both characters in the pair have participated. Once, based on this data, the weighted centrality for each character is obtained, the sum of centralities of all female characters is divided by the respective sum for males. Gender degree ratio total (GDRT) differs from GDR with the input data only: instead of dialogues, all scenes are used, including those where a given character is participating silently. Unlike the BW test which aims to assess stereotyping of women, these network measures evaluate women’s overall importance in a film, as compared to men.
The film budget (BudgetALL) and the amount of state support (StateSup) were measured in rubles and adjusted for inflation. The power of the distribution company which is its capability to book film widely was evaluated via a proxy parameter – company type (DistrType). It is a nominal variable with four levels, where 4 is assigned to representatives of Hollywood major studios that possess the highest power; 3 – to representatives of Russian leading producers; 2 – to independent distributors; 1 – to self-distributors (producers who release their films without the mediation of a distribution company and possess the lowest power).
Threshold is a binary variable that assigns each film to one of the two categories based on its year of release in CIS, either before or in and after 2015. This year was chosen based on ad-hoc tests and qualitative movie industry analysis. This was the year when the attention of the professional cinema community to the gender of filmmakers experienced a shift. Among other things, a special out-of-competition program appeared at the Moscow International Film Festival, and women’s films began to win at Kinotavr, the most prestigious film festival of Russian cinema.
Control variables
Data for determining film genre was retrieved from (КиноПоиск) https://www.kinopoisk.ru/ where each film usually gets multiple genre assignments. Based on factor analysis (see details in the supplement available at https://doi.org/10.7910/DVN/GDKOSR) we created enlarged groups of genres to reduce the dimensionality of the indicator. Six numeric variables express the proportion of each genre in a film: drama (Drm), comedy (Cmd), family (Fml), suspense (Ssp), dynamic (Dyn), and prestige (Prs). Some of them were excluded from some models due to multicollinearity. The film genre is distinct from the film type that represents four categories (top, average, festival, and undefined) used to compile our sample for BWL mark-up, as described above.
Russian film age rating (AgeRateRu) is a nominal variable with four categories: 0/6+, 12+, 14/16+, and 18+ which unites two ranking systems that existed in Russia before and after the reform of 2012, respectively.
The season factor is controlled by two variables: the number of days off in the Russian Federation on the week of the film release (VacDays) and the number of films that were released in the same week (Competitors).
As the Russian cinema market was fast growing in terms of the number of screens through the period under investigation, their average number as of the beginning and the end of the month, when the film was released (ScrRU), is controlled for. It is being done to compensate for the lack of information on the number of screens booked for every film.
3.3. Data analysis
All data analysis was carried out in R version 3.6.1 (2019-07-05). The main method for testing hypotheses was linear regression. Confirmatory factor analysis (CFA) was applied for genre aggregation. Structural equation modeling (SEM) for the theoretical model as it is presented in Fig. 1 was not applicable as different samples were used for the research of different parts of the scheme.
4. Results and Discussion
4.1. Descriptive statistics
Descriptive statistics of the datasets used for the analysis are presented in Table 1 (full dataset) and Table 2 (marked-up dataset).
In terms of unique persons working on the projects included in the full sample, the overall female share is 19.7%; female producers make up 20.6% of the sample, screenwriters – 19.8%, and directors – 17.5% (Table 3).
| Variables | N | Mean | St. Dev. | Min | Pctl(25) | Pctl(75) | Max |
|---|---|---|---|---|---|---|---|
| Share of males in crew among: | |||||||
|
1,259 | 0.831 | 0.365 | 0 | 1 | 1 | 1 |
|
1,218 | 0.787 | 0.311 | 0 | 0.667 | 1 | 1 |
|
1,224 | 0.793 | 0.354 | 0 | 0.667 | 1 | 1 |
|
1,266 | 0.793 | 0.258 | 0 | 0.667 | 1 | 1 |
| Film budget, adjusted rubles | 644 | 190,406,098 | 382,583,808 | 118,022 | 59,277,415 | 190,289,619 | 6,927,029,154 |
| Variables | N | Mean | St. Dev. | Min | Pctl(25) | Pctl(75) | Max |
|---|---|---|---|---|---|---|---|
| Attendance, tickets | 243 | 1,267,886 | 1,780,832 | 68 | 205,318 | 1,857,989 | 12,443,898 |
| Share of males in crew among: | |||||||
|
243 | 0.889 | 0.303 | 0 | 1 | 1 | 1 |
|
243 | 0.847 | 0.245 | 0 | 0.8 | 1 | 1 |
|
243 | 0.841 | 0.296 | 0 | 0.75 | 1 | 1 |
|
243 | 0.857 | 0.19 | 0.167 | 0.8 | 1 | 1 |
| Film budget, adjusted rubles | 193 | 264,754,867 | 549,412,730 | 324,420 | 89,404,300 | 241,374,858 | 6,927,029,154 |
| Other (see note) | |||||||
| VacDays, days | 243 | 2.626 | 1.427 | 1 | 2 | 3 | 10 |
| Competitors, films | 243 | 8.444 | 2.649 | 2 | 7 | 10 | 16 |
| ScrRU, screens | 243 | 3,655 | 1,047 | 1,842 | 2,707 | 4,639 | 5,47 |
| BWL, % | 243 | 0.057 | 0.095 | 0 | 0 | 0.07 | 0.76 |
| GDR | 242 | 0.626 | 0.748 | 0 | 0.27 | 0.718 | 7 |
| GDRT | 243 | 0.595 | 0.674 | 0 | 0.27 | 0.66 | 7.44 |
Note: VacDays – number of days off in a film release week (the maximum number of days off in week 10 is explained by counting the number of non-working days in a row during the New Year holidays). Competitors – number of competing films released during the same week. ScrRU – the average number of screens in Russia for the month of release. BWL – the proportion of dialogues among female characters on qualified topics in the total number of film dialogues. GDR – gender degree ratio of characters participated in dialogues. GDRT – gender degree ratio of characters appeared in the same scenes.
| Number of people | Share of people in the position | |||
| male | female | male | female | |
| Producers | 2884 | 746 | 79.4% | 20.6% |
| Screenwriters | 1954 | 483 | 80.2% | 19.8% |
| Directors | 1227 | 261 | 82.5% | 17.5% |
| All three key positions | 6065 | 1490 | 80.3% | 19.7% |
4.2. Women behind the camera and their access to resources
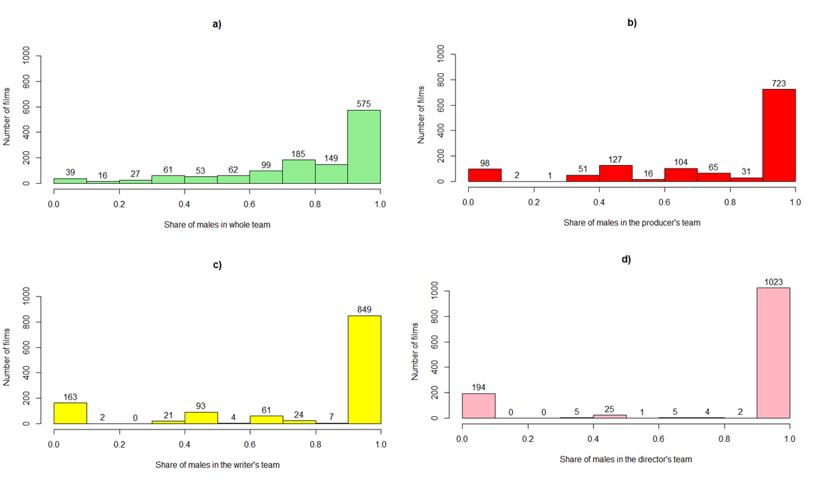
The results of the study show that, like in other countries, men dominate among the key creators of Russian films (Fig. 3). Single-gender film crews with men in all three key creative positions (producers, directors, and screenwriters) produced 575 movies out of 1285 during the studied decade; all producers were men in 723 movies, all writers – in 849, and all directors – in 1023.
Regression analysis demonstrates a positive linear relationship between the log-transformed film budget and the proportion of men in the team (Table 4). In other words, men have access to higher budgets in the Russian film industry thus fully confirming H1. However, at the same time, the amount of state support is not related to the gender composition of the key film crew members. Male producers, but not directors or screenwriters have access to the strongest distributors on the market: representatives of Hollywood majors and the leading Russian studios. Formally, this means that H2 is only partially confirmed, however, producers are generally more important for access to resources than either directors or screenwriters. Overall, these results are in line with those received for other countries (e.g. Follows et al.; Piccon et al.; Verhoeven et al.).
| Dependent variables |
overall male share | male share among producers |
male share among directors |
male share among screen-writers |
| Independent Variables | ||||
| Film budget (log-transformed) | 0.054*** | 0.028** | 0.086*** | 0.069*** |
| State support (log-transformed) | -0.0004 | 0.0001 | -0.001 | -0.002 |
| Distribution type (baseline: self-distribution) | ||||
|
0.025 | 0.017 | -0.011 | 0.025 |
|
0.106*** | 0.142*** | 0.040 | 0.049 |
|
0.107*** | 0.133*** | 0.052 | 0.039 |
| Constant | -0.257 | 0.198 | -0.764** | -0.475 |
| Observations | 514 | 510 | 514 | 512 |
| R2 | 0.113 | 0.070 | 0.072 | 0.049 |
| Adjusted R2 | 0.105 | 0.061 | 0.063 | 0.039 |
| Residual Std. Error | 0.218 (df = 508) | 0.272 (df = 504) | 0.343 (df = 508) | 0.322 (df = 506) |
| F Statistic | 12.986*** (df = 5; 508) | 7.603*** (df = 5; 504) | 7.705*** (df = 5; 508) | 5.187*** (df = 5; 506) |
Note: *p<0.1; **p<0.05; ***p<0.01.
4.3. Women behind the camera and film theatrical attendance
Linear regression analysis of film crew gender composition effects on log-transformed film attendance (Table 5) shows that the proportion of men among screenwriters was not significant in any models. When the budget is controlled for, the significance of the proportion of males in the other two key roles decreases with only the effect of the producers’ gender sustaining in all models. This renders H3 partially confirmed. An explanation for this may lie in the fact that men producers have access not only to larger budgets but most importantly, to stronger distributors.
The influence of the changes in the Russian film industry occurring in and after 2015 on the relationship between the proportion of men among filmmakers and attendance (H4) has been tested with three respective interaction terms. As it can be seen, H4 has to be entirely rejected, which means that after 2015 films, on average, got as much gain in attendance from producers being men as before 2015.
| Independent variables | Dependent variable: Attendance (log-transformed) | |||
| (1) | (2) | (3) | (4) | |
| Male share in crew among: | ||||
|
0.827*** | 0.726*** | 0.757** | 0.868** |
|
0.612*** | 0.438* | 0.628** | 0.582 |
|
0.182 | -0.005 | 0.096 | -0.222 |
| Distribution type (baseline: self-distribution) | ||||
|
1.919*** | 1.298*** | 1.922*** | 1.269*** |
|
3.938*** | 2.893*** | 3.938*** | 2.857*** |
|
5.070*** | 4.020*** | 5.074*** | 3.998*** |
| Film age rating (baseline: 0+/6+) |
||||
|
-0.937*** | -0.689*** | -0.929*** | -0.679*** |
|
-1.252*** | -0.875*** | -1.250*** | -0.860*** |
|
-1.499*** | -1.040*** | -1.486*** | -1.032*** |
| Film budget (log-transformed) | 0.635*** | 0.636*** | ||
| Other (see note) | ||||
| ScrRU | -0.0001 | 0.0001 | -0.0001 | -0.0001 |
| VacDays | 0.308*** | 0.301*** | 0.308*** | 0.297*** |
| Competitors | -0.037 | -0.029 | -0.036 | -0.026 |
| Threshold (baseline: before 2015) | -0.133 | 0.535 | ||
| Threshold:ProdMaleShare | 0.153 | -0.396 | ||
| Threshold:DirMaleShare | -0.034 | -0.256 | ||
| Threshold:ScrMaleShare | 0.177 | 0.474 | ||
| Constant | 7.225*** | -4.041*** | 7.438*** | -3.765** |
| Observations | 915 | 634 | 915 | 634 |
| R2 | 0.534 | 0.545 | 0.534 | 0.548 |
| Adjusted R2 | 0.527 | 0.536 | 0.526 | 0.535 |
| Residual Std. Error | 1.875 (df = 902) | 1.786 (df = 620) | 1.878 (df = 898) | 1.787 (df = 616) |
| F Statistic | 86.010*** (df = 12; 902) | 57.148*** (df = 13; 620) | 64.295*** (df = 16; 898) | 43.873*** (df = 17; 616) |
Note: *p<0.1; **p<0.05; ***p<0.01. ScrRU – the average number of screens in Russia for the month of release. VacDays – number of days off in a film release week. Competitors – number of competing films released during the same week. Threshold: date of release, either before 2015 (baseline) or after 2015. Interaction terms: interaction of threshold (before/after 2015) and the share of males in the crew in the positions of producers, directors, and screenwriters, respectively.
4.4. The representation of women on the screen
Based on the BWL test results of 243 Russian films it turns out that only 161 films or 61% pass it in terms of the binary approach – passed/not passed (Fig. 4 a): in these films, there were two women who talked to each other about something other than men (or such disqualified topics as beauty practices, housekeeping, children, and other women). Moreover, if we look at the proportion of conversations between women, the result is even more shocking: among those 61% that do pass the test, 69 films (28% of the marked-up dataset) yield a BWL score that does not exceed 5% of all dialogues (Fig. 4 b). This result shows that female characters in Russian films are represented quite stereotypically.
Likewise, in most of the films reviewed, both indicators of gender degree ratio (GDR & GDRT) are less than 0.8 (Fig. 5), which according to (Kagan et al.) indicates a prevalence of men among the most central characters. Thus, these two network indicators show that not only the speech of Russian women characters is represented stereotypically, but they are not at all at the center of narration in the majority of films.
4.5 Women crews and the representation of women on screen
The gender composition of the key crew members in the marked-up dataset is slightly skewed towards men, compared to the full dataset (see Table 6 vs Table 3). As this limitation may have affected the results presented below, they should be treated with a certain amount of caution.
| Number of people | Share of people in the position | |||
| male | female | male | female | |
| Producers | 775 | 142 | 84.5% | 15.5% |
| Screenwriters | 525 | 85 | 86.1% | 13.9% |
| Directors | 274 | 34 | 88.9% | 11.0% |
| All three key positions | 1574 | 261 | 85.8% | 14.2% |
Linear regression analysis results for three dimensions of women’s representation, taken as the dependent variables are presented in Table 7. The strong and significant negative relationship between the proportion of males among the key crew members, on the one hand, and the BWL test, GDR, and GDRT, on the other (models 1, 5, and 9) is mostly explained by the contribution of screenwriters (models 4, 8 and 12). At the same time, the effects of the proportions of men among directors and producers are either insignificant or not as strong and not as significant. Nevertheless, the centrality of female characters is related to the gender composition of the filmmakers, in full agreement with H5 and in concordance with previous research that observed a correlation between the presence of women protagonists and the gender composition of the crew. This correlation was found to be significant not only for writers (Russian researchers have long noted the particular importance of female screenwriters for domestic women’s cinema – to a greater extent than abroad (Turovskaya 148)), but also for directors and, to a lesser degree, for producers on TV (Linke and Prommer) and in family films (Smith and Choueiti).
| Dependent variables |
BWL (log-transformed) | GDR (log-transformed) | GDRT (log-transformed) | |||||||||
| Independent variables |
||||||||||||
| (1) | (2) | (3) | (4) | (5) | (6) | (7) | (8) | (9) | (10) | (11) | (12) | |
|
Share of males
in crew among: |
||||||||||||
|
-5.829*** | -1.763*** | -1.699*** | |||||||||
|
-2.515* | -0.705* | -0.565 | |||||||||
|
-2.005 | -0.905* | -0.876* | |||||||||
|
-5.066*** | -1.067*** | -1.040*** | |||||||||
| Constant | -3.040 | -5.797*** | -6.334*** | -3.771*** | 0.513 | -0.372 | -0.231 | -0.101 | 0.460 | -0.493 | -0.252 | -0.119 |
| Observations | 243 | 243 | 243 | 243 | 242 | 242 | 242 | 242 | 243 | 243 | 243 | 243 |
| R2 | 0.029 | 0.014 | 0.006 | 0.053 | 0.032 | 0.013 | 0.014 | 0.029 | 0.031 | 0.009 | 0.013 | 0.028 |
| Adjusted R2 | 0.025 | 0.010 | 0.002 | 0.049 | 0.028 | 0.009 | 0.010 | 0.025 | 0.027 | 0.004 | 0.009 | 0.024 |
| Residual Std. Error | 6.453 (df = 241) | 6.503 (df = 241) | 6.529 (df = 241) | 6.373 (df = 241) | 1.844 (df = 240) | 1.862 (df = 240) | 1.861 (df = 240) | 1.847 (df = 240) | 1.820 (df = 241) | 1.841 (df = 241) | 1.836 (df = 241) | 1.823 (df = 241) |
| F Statistic | 7.150*** (df = 1; 241) | 3.328* (df = 1; 241) | 1.365 (df = 1; 241) | 13.390*** (df = 1; 241) | 8.011*** (df = 1; 240) | 3.188* (df = 1; 240) | 3.414* (df = 1; 240) | 7.062*** (df = 1; 240) | 7.630*** (df = 1; 241) | 2.092 (df = 1; 241) | 3.296* (df = 1; 241) | 6.901*** (df = 1; 241) |
Note: *p<0.1; **p<0.05; ***p<0.01.
4.6. Women’s on-screen representation and film theatrical attendance
A key hypothesis for this study (H6) is that films in which women characters are more central and less stereotyped (measured by the BWL test and two indices of gender degree ratio) are more interesting for the audience. Additionally, we expected positive changes in the viewers’ attitudes to the films with central female characters after 2015 (H7). Twelve linear regression models that test these hypotheses are presented in Table 8.
The table includes only those control variables from the initial theoretical model diagram (Fig. 1) that are significant in at least one model. Among them, the largest effects belong to the distributor type and film type. From the variety of aggregated genres, only comedy and family demonstrate a significant (and positive) relationship with film attendance and only in the models controlling for the movie’s budget. The latter is always a significant predictor of attendance.
Among independent variables of interest, the BWL test score is positively related to film attendance (model 1), but its significance is weak and the effect disappears when the budget is introduced into the model (2). GDR and GDRT are associated with attendance negatively but insignificantly (models 3-6). We can conclude that H6 has to be rejected. These results are in line with some previous research (Lindner et al., “Million Dollar Maybe?”) and can be interpreted similarly, as the absence of evidence for the negative perception of strong female characters by the Russian viewers.
However, the effects of interactive terms involving threshold (for which we took the 2015 year when gender in films started to be appreciated in Russia) are positive and significant when also involving GDR and GDRT, but not BWL. As shown by our more detailed post-hoc analysis (Fig. 6), female centrality measured both as GDR and GDRT has a negative effect on attendance only before 2015, while this effect ceases to exist after 2015 (the weak positive relationship is insignificant p>0.2). This suggests that while Russian viewers were skeptical about attending movies with strong female characters before gender equality was on the public agenda, their attitude has changed in favor of the propensity to attend films independently of female centrality. This coincides with the global trend (Lopez; Vainikka). Although formally H7 should be rejected based on the opposite direction of both GDR and GDRT found before 2015, conceptually, the change that occurs after 2015 is in line with our assumption (i.e. we did assume and did reveal the growth of tolerance towards strong female characters). However, this evidence is to be treated with caution due to the small effect size and large confidence intervals observed.
| Dependent variable: Attendance (log-transformed) | ||||||||||||
|---|---|---|---|---|---|---|---|---|---|---|---|---|
| Independent variables | (1) | (2) | (3) | (4) | (5) | (6) | (7) | (8) | (9) | (10) | (11) | (12) |
| Female representation & period | ||||||||||||
| BWL (log-transformed) | 0.019* | 0.013 | 0.014 | 0.003 | ||||||||
| GDR (log-transformed) | -0.011 | -0.035 | -0.070 | -0.171*** | ||||||||
| GDRT (log-transformed) | -0.020 | -0.040 | -0.082 | -0.176*** | ||||||||
| Threshold (baseline: before 2015) | 0.588** | 0.489** | 0.492** | 0.509*** | 0.476** | 0.503*** | ||||||
| BWL (log-transformed): Threshold | 0.016 | 0.027 | ||||||||||
| GDR (log-transformed): Threshold | 0.115 | 0.224*** | ||||||||||
| GDRT (log-transformed): Threshold | 0.115 | 0.222*** | ||||||||||
| Distributor type (baseline: self-distribution) | ||||||||||||
|
2.247*** | 1.177** | 2.230*** | 1.115** | 2.214*** | 1.114** | 2.245*** | 1.132** | 2.192*** | 0.946** | 2.165*** | 0.935** |
|
2.699*** | 1.843*** | 2.669*** | 1.769*** | 2.661*** | 1.770*** | 2.729*** | 1.854*** | 2.696*** | 1.744*** | 2.673*** | 1.722*** |
|
3.086*** | 2.126*** | 3.028*** | 2.040*** | 3.023*** | 2.044*** | 3.129*** | 2.125*** | 3.043*** | 1.959*** | 3.023*** | 1.942*** |
| Film type (baseline: moderately popular) | ||||||||||||
|
-1.695*** | -1.510*** | -1.727*** | -1.530*** | -1.736*** | -1.525*** | -1.652*** | -1.458*** | -1.682*** | -1.437*** | -1.694*** | -1.423*** |
|
1.984*** | 1.835*** | 1.958*** | 1.799*** | 1.957*** | 1.796*** | 1.997*** | 1.819*** | 1.976*** | 1.778*** | 1.975*** | 1.780*** |
|
-0.154 | -0.539* | -0.185 | -0.579* | -0.184 | -0.580* | -0.147 | -0.594* | -0.188 | -0.660** | -0.192 | -0.660** |
| Film budget (log-transformed) | 0.191** | 0.219*** | 0.219*** | 0.205*** | 0.267*** | 0.271*** | ||||||
| Other (see note) | ||||||||||||
| ScrRU | -0.0001 | 0.0001 | -0.00005 | 0.0001 | -0.00005 | 0.0001 | -0.0002** | -0.0002* | -0.0002* | |||
| Comedy | 0.337 | 0.557** | 0.324 | 0.564** | 0.322 | 0.567** | 0.343 | 0.572** | 0.350 | 0.634** | 0.345 | 0.641** |
| Family | 0.468 | 0.684* | 0.400 | 0.638* | 0.390 | 0.642* | 0.461 | 0.746** | 0.408 | 0.727** | 0.393 | 0.729** |
| Constant | 9.621*** | 6.594*** | 9.515*** | 5.988*** | 9.532*** | 5.970*** | 9.991*** | 6.332*** | 9.785*** | 5.120*** | 9.808*** | 5.540*** |
| Observations | 243 | 193 | 242 | 192 | 243 | 193 | 243 | 193 | 242 | 192 | 243 | 193 |
| R2 | 0.800 | 0.813 | 0.795 | 0.811 | 0.797 | 0.813 | 0.804 | 0.818 | 0.800 | 0.823 | 0.802 | 0.825 |
| Adjusted R2 | 0.784 | 0.793 | 0.778 | 0.790 | 0.780 | 0.792 | 0.786 | 0.796 | 0.782 | 0.803 | 0.784 | 0.805 |
| Residual Std. Error | 0.939 (df = 224) | 0.942 (df = 173) | 0.949 (df = 223) | 0.946 (df = 172) | 0.946 (df = 224) | 0.943 (df = 173) | 0.933 (df = 222) | 0.934 (df = 172) | 0.940 (df = 221) | 0.917 (df = 171) | 0.939 (df = 222) | 0.915 (df = 172) |
| F Statistic | 49.663*** (df = 18; 224) | 39.642*** (df = 19; 173) | 47.975*** (df = 18; 223) | 38.776*** (df = 19; 172) | 48.729*** (df = 18; 224) | 39.584*** (df = 19; 173) | 45.570*** (df = 20; 222) | 38.525*** (df = 20; 172) | 44.228*** (df = 20; 221) | 39.808*** (df = 20; 171) | 44.852*** (df = 20; 222) | 40.542*** (df = 20; 172) |
Note: *p<0.1; **p<0.05; ***p<0.01. ScrRU – the average number of screens in Russia for the month of release. Comedy, Family – genres categories (in percent of genres enlisted on Kinopoisk.ru). Only significant at least in one model variables are presented.
5. Limitations
Some factors related to cinema attendance and recommended by previous research were not introduced into the models due to their unavailability or irrelevance to the Russian cinema market. Only the binary gender of film crew members and on-screen characters is considered; the attribution of gender is based only on names and does not represent the self-identification of the crew. Similarly, while the terms “sex” and “gender” are used interchangeably in this paper the authors do not presume that women or men are biologically defined. The theatrical distribution data used has several shortcomings, but it is the only available dataset on the CIS market, and it is widely recognized as a reliable proxy for decision-making by commercial companies and public bodies.
6. Conclusions
In our study, we have proposed a continuous version of the Bechdel-Wallace test (BWL) calculated as a proportion of qualified dialogues between women in Russian films. Our results show that such a metric renders additional useful information about on-screen gender balance: in particular, we have shown that even among the films that do pass the test the proportion of non-stereotypical dialogues is strikingly low. This situation calls both for a wider use of more nuanced metrics and for more action towards gender equality in the film industry.
Our research contributes to the study of gender in global cinema industries by investigating a large non-Western market and by introducing a new marked-up dataset available for further independent scrutiny. Focusing on binary gender imbalance in the Russian film industry from 2008 to 2019, our study has considered seven hypotheses, of which four were partially or fully confirmed and three were rejected (see Table 9). We confirm several trends observed in other countries that point to the lack of women behind the camera and their stereotypical representation on the screen. The study shows the importance of female screenwriters for representing stronger female characters and, simultaneously, the dominance of male producers and directors in the access to resources which leads to higher popularity of their films. These two trends together result in preventing non-stereotypical female characters from reaching wider audiences. At the same time, Russian data demonstrates the absence of a relationship between the success of the film and indicators of gender bias towards the female characters, which does not support a prejudice of strong women as an unpopular image. This means that Russian audiences before 2020 were potentially ready to attend movies with non-stereotypical portrayals of women and that it was not viewers’ biases that prevented strong women from being more widely represented on-screen. Finally, the analysis of the change in the Russian audience’s attitude towards women on the screen provides suggestive evidence for the decrease of the negative effect of strong female characters on attendance: this effect, although weak, could be observed before 2015, but entirely disappeared after that.
Further research could enlarge the existing marked-up dataset which would allow testing our conceptual model with structural equation modeling in a single statistical framework.
| Hypothesis | Result |
|---|---|
| H1: The higher the proportion of women among filmmakers in key creative positions, the smaller the film budget is | Confirmed |
| H2: The higher the proportion of women among filmmakers in key creative positions, the lower a film distributor’s power is | Partially confirmed (for producers) |
| H3: The higher the proportion of women among filmmakers in key creative positions, the lower the attendance of Russian films in the CIS is | Partially confirmed (for producers) |
| H4: After 2015, the (positive) effect of the proportion of men among filmmakers on theatrical attendance is smaller than before | Rejected |
| H5: The higher the proportion of women among filmmakers, (a) the higher the centrality of female characters and (b) the less stereotypical their representation are | Confirmed |
| H6: (a) The higher the centrality of female characters and (b) the lower their stereotyping in dialogues are, the higher the attendance of Russian films in the CIS is | Rejected |
| H7: After 2015, the (positive) effect of (a) female centrality and (b) female character non-stereotyping on attendance is higher than before 2015 | Partially confirmed for GDR and GDRT, where the negative effect of (a) becomes insignificant after 2015. For BWL (b) it is insignificant. |
Data availability statement
The database of film production in Russia and film distribution in the Commonwealth of Independent States (CIS) before 2018 was received from Nevafilm Research, later data was collected from the open sources such as Russian Cinema Fund Analytics, Russian Film Business Today, Booker’s Bulletin magazines, and Kinopoisk.ru.
Acknowledgements
We appreciate the advice of Elizabeth Prommer from Universität Rostock. Many thanks to all 94 students at St. Petersburg State University of the Cinema and Television and the National Research University Higher School of Economics who marked up the Russian films following Bechdel-Wallace test method.
Data repository: https://doi.org/10.7910/DVN/ISVTB4
Peer reviewer: Daniel Schwartz
References
- 21st Century Fox, The Geena Davis Institute on Gender in Media, and J. Walter Thompson Intelligence, 21st Century Fox. (2018). THE ”SCULLY EFFECT“: I WANT TO BELIEVE... ...IN STEM In: https://seejane.org/wp-content/uploads/x-files-scully-effect-report-geena-davis-institute.pdf
- Key Female Characters in Film Have More to Talk About Besides Men: Automating the Bechdel Test. Proceedings of the 2015 Conference of the North American Chapter of the Association for Computational Linguistics: Human Language Technologies, Association for Computational Linguistics. Agarwal, Apoorv; Zheng, Jiehan; Kamath, Shruti; Balasubramanian, Sriramkumar; Ann Dey, Shirin. (2015). Association for Computational Linguistics, pp. 830–40, Proceedings of the 2015 Conference of the North American Chapter of the Association for Computational Linguistics: Human Language Technologies. DOI: http://dx.doi.org/10.3115/v1/n15-1084 https://doi.org/10.3115/v1/n15-1084
- The Powerful Male Hero: A Content Analysis of Gender Representation in Posters for Children’s Animated Movies. Sex Roles. Aley, Melinda; Hahn, Lindsay. (2020). Springer Science and Business Media LLC, Feb 6 2020 83 (7-8) pp. 499–509, 0360-0025 DOI: http://dx.doi.org/10.1007/s11199-020-01127-z https://doi.org/10.1007/s11199-020-01127-z
- Red Women on the Silver Screen. Attwood, Lynne. (1993). Part 1. Women, Cinema and Society’ In: Pandora Press, pp. 19–132.
- Red Women on the Silver Screen. Attwood, Lynne. (1993). London: Pandora Press.
- Red Women on the Silver Screen. Attwood, Lynne. (1993). “Some Interviews on Personal Questions...”: Soviet Women Talk About Their Experiences in the Film Industry’ In: Pandora Press, pp. 225–48.
- Dykes to Watch Out For. Bechdel, Alison. (1986). Firebrand Books.
- Bechdel Test Movie List, May 2021 2021-5-30 https://bechdeltest.com/ Accessed 30.
- Red Women on the Silver Screen. Bulgakova, Oksana. (1993). The Hydra of the Soviet Cinema: The Metamorphoses of the Soviet Film Heroine’ In: Pandora Press, pp. 149–74.
- Gender & Creativity: Progress on the Precipice, Special Edition. Conor, B.. (2021). UNESCO.
- Age, Gender and Performer Employment in Europe. Report on Research for the International Federation of Actor’s (FIA) Project ‘Changing Gender Portrayal: Promoting Employment Opportunities for Women in the Performing Arts’. Dean, D. (2008). Industrial Relations Research Unit Warwick Business School University of Warwick, UK, p. 31.
- Red Women on the Silver Screen. Drozdova, Marina. (1993). Sublimations from Socialism: New Images of Women in Soviet Cinematography in the Era of Perestroika’ In: Pandora Press, pp. 198–214.
- Eurimages’ Gender Equality Strategy (2021-2023): Equal Voices for Equal Talent. Eurimage, https://rm.coe.int/3rd-gender-equality-strategy-2021-2023-web-2781-1615-4114-2/1680a13a04
- Cut out of the Picture: A Study of Gender Inequality Amongst Film Directors in the UK Film Industry. Commissioned by Directors UK, Follows, S; Kreager, A; Gomes, E. (2016).
- Female Audiovisual Professionals in European TV Fiction Production. European Audiovisual Observatory, Fontaine, Gilles. (2022). : 64. https://rm.coe.int/female-audiovisual-professionals-in-european-tv-fiction-production-202/1680a626dc Zotero,.
- Gender Asymmetries in Reality and Fiction: The Bechdel Test of Social Media. Proceedings of the 8th International AAAI Conference on Weblogs and Social Media (ICWSM ’14). Garcia, David; Weber, Ingmar; Garimella, Venkata. Association for the Advancement of Artificial Intelligence (AAAI), 2334-0770 DOI: http://dx.doi.org/10.1609/icwsm.v8i1.14522 https://doi.org/10.1609/icwsm.v8i1.14522
- Handbook of State Aid for Film. Hetherington Raveney, Francine; Moldaschl, Birgit; Koblitz, Anna. (2018). Gender Inequality for Directors in the European Film Industry: Focus on Austria In: Springer International Publishing, pp. 509–530, 2523-319X 9783319717142 DOI: http://dx.doi.org/10.1007/978-3-319-71716-6_28 https://doi.org/10.1007/978-3-319-71716-6_28
- Feminism and Film. Johnston, C.. (1973). Women’s Cinema as Counter- Cinema’ In: Kaplan, A. (ed.), Oxford University Press, pp. 22–23.
- A Social Network Analysis Approach to Examining Gendered Character Positions in Popular Film Narratives. Jones, Pete. (2020). The University of Manchester. https://www.proquest.com/openview/23017fdb68cce9a406d5b2ceee30a9d6/1?pq-origsite=gscholar=18750=y The University of Manchester, A thesis submitted to the University of Manchester for the degree of Doctor of Philosophy in the Faculty of Humanities,.
- Measuring centrality in film narratives using dynamic character interaction networks. Social Networks. Jones, Pete; Quinn, Eithne; Koskinen, Johan. (2020). Elsevier BV, Oct 2020 63 pp. 21–37, 0378-8733 DOI: http://dx.doi.org/10.1016/j.socnet.2020.03.003 https://doi.org/10.1016/j.socnet.2020.03.003
- Using data science to understand the film industry’s gender gap. Palgrave Communications. Kagan, Dima; Chesney, Thomas; Fire, Michael. (2020). Springer Science and Business Media LLC, May 13 2020 6 (1) p. 92. 2055-1045 DOI: http://dx.doi.org/10.1057/s41599-020-0436-1 https://doi.org/10.1057/s41599-020-0436-1
- Focus 2018. World Film Market Trends. European Audiovisual Observatory. Kanzler, Martin.. (2018). Elsevier BV, p. 64. 1351-4210 DOI: http://dx.doi.org/10.1016/j.fos.2018.11.030 https://doi.org/10.1016/j.fos.2018.11.030
- Focus 2020 World Film Market Trends. European Audiovisual Observatory, Kanzler, Martin; Simone, Patrizia. (2021). : 66. DOI: http://dx.doi.org/10.1016/j.fos.2018.11.030
- Focus 2022 World Film Market Trends. European Audiovisual Observatory, Kanzler, Martin; Simone, Patrizia. (2022). : 64.
- The Bechdel in India: gendered depictions in contemporary Hindi cinema. Journal of Gender Studies. Kapoor, Hansika; Bhuptani, Prachi H.; Agneswaran, Amuda. (2015). Informa UK Limited, Oct 27 2015 26 (2) pp. 212–226, 0958-9236 DOI: http://dx.doi.org/10.1080/09589236.2015.1102128 https://doi.org/10.1080/09589236.2015.1102128
- It’s a Man’s (Celluloid) World, Even in a Pandemic Year: Portrayals of Female Characters in the Top U.S. Films of 2021. Lauzen, Martha M.. (2022).
- Key Trends in Russian Cinema. European Audiovisual Observatory, Leontyeva, Xenia; Berezin, Oleg; Kuzmichev, Pavel. (2018). : 58. https://rm.coe.int/ru-2018-key-trends-of-russian-cinema/16808d7212
- Employment Issues in the Russian Film Industry’. KinoKultura Leontyeva, Xenia; Danilov, Pavel. (2018). (62) http://www.kinokultura.com/2018/62-leontyeva-danilov.shtml
- Women in the International Film Industry: Policy, Practice and Power. Liddy, Stella (ed.), . (2020). Palgrave MacMillan, 9783030390693 DOI: http://dx.doi.org/10.1007/978-3-030-39070-9 https://doi.org/10.1007/978-3-030-39070-9
- Million Dollar Maybe? The Effect of Female Presence in Movies on Box Office Returns. Sociological Inquiry. Lindner, Andrew M.; Lindquist, Melissa; Arnold, Julie. (2015). Wiley, 85 (3) pp. 407–428, 0038-0245 DOI: http://dx.doi.org/10.1111/soin.12081 https://doi.org/10.1111/soin.12081
- Million Dollar Maybe? The Effect of Female Presence in Movies on Box Office Returns. Sociological Inquiry. Lindner, Andrew M.; Lindquist, Melissa; Arnold, Julie. (2015). Wiley, 85 (3) pp. 407–428, 0038-0245 DOI: http://dx.doi.org/10.1111/soin.12081 https://doi.org/10.1111/soin.12081
- How Movies with a Female Presence Fare with Critics. Socius: Sociological Research for a Dynamic World. Lindner, Andrew M.; Schulting, Ziggy. (2017). SAGE Publications, Jan 1 2017 3 (3) pp. 1–6, 2378-0231 DOI: http://dx.doi.org/10.1177/2378023117727636 https://doi.org/10.1177/2378023117727636
- From fade-out into spotlight: An audio-visual character analysis (ACIS) on the diversity of media representation and production culture. Studies in Communication Sciences. Linke, Christine; Prommer, Elizabeth. (2021). SComS, Mar 16 2021 pp. 1–17, 2296-4150 DOI: http://dx.doi.org/10.24434/j.scoms.2021.01.010 https://doi.org/10.24434/j.scoms.2021.01.010
- Women and Non-White Characters Are Speaking More in Recent Star Wars Movies’. Variety, Lopez, Ricardo. (2017). https://variety.com/2017/film/news/star-wars-diversity-dialogue-bechdel-test-rogue-one-1202633473/
- Visual and Other Pleasures. Mulvey, Laura. (1989). Visual Pleasure and Narrative Cinema In: Palgrave Macmillan UK, pp. 14–26, 9780333445297 DOI: http://dx.doi.org/10.1007/978-1-349-19798-9_3 https://doi.org/10.1007/978-1-349-19798-9_3
- Gender Inequality in Film Infographic, Perrone, J. J.. (2018). https://www.nyfa.edu/film-school-blog/gender-inequality-in-film-infographic-updated-in-2018 Updated in 2018. 2018,.
- La Place Des Femmes Dans l’industrie Cinématographique et Audiovisuelle. CNC, Piccon, I... (2019). : 122.
- Women in Soviet Film: The Thaw and Post-Thaw Periods. Rojavin, Marina, Harte, Tim Tim (eds.), . (2017). Routledge, Sep 22 2017 9781315409856 DOI: http://dx.doi.org/10.4324/9781315409856 https://doi.org/10.4324/9781315409856
- Female-Led Films Outperform at Box Office for 2014-2017, Shift7; CAA. (2018). https://shift7.com/media-research
- Female Professionals in European Film Production. European Audiovisual Observatory, Simone, Patrizia. (2021). : 67.
- Race / Ethnicity, LGBTQ & Disability from 2007 to 2019. Annenberg Foundation, Smith, S.L.; Choueiti, M.; Pieper, K.; Case, A... (2020). Inequality in 1 ,300 Popular Films : Examining Portrayals of Gender In: Sep 2020
- LGBT & Disability from 2007 to 2017. Annenberg Foundation, Smith, S.L.; Choueiti, M.; Pieper, K.; Case, A... (2018). Inequality in 1,100 Popular Films: Examining Portrayals of Gender, Race/Ethnicity In: Jul 2018
- LGBTQ & Disability from 2007 to 2018. Annenberg Foundation, Sept, Smith, S.L.; Choueiti, M.; Pieper, K.; Yao, K... (2019). Inequality in 1,200 Popular Films: Examining Portrayals of Gender, Race/Ethnicity In:
- Gender Disparity On Screen and Behind the Camera in Family Films: An Executive Summary. Smith, Stacy L.; Choueiti, Marc. (2009). University of Southern California Annenberg School for Communication & Journalism. https://annenberg.usc.edu/sites/default/files/2015/04/28/Gender%20Disparity%20On%20Screen%20and%20Behind%20the%20Camera%20in%20Family%20Films-%20An%20Executive%20Summary%20key%20findings.pdf
- Gender Bias Without Borders. Geena Davis Institute on Gender in Media, Smith, Stacy L... (2014). https://seejane.org/wp-content/uploads/gender-bias-without-borders-full-report.pdf
- Gender and box office performance. Applied Economics Letters. Treme, Julianne; Craig, Lee A.; Copland, Andrew. (2018). Informa UK Limited, Jul 17 2018 26 (9) pp. 781–785, 1350-4851 DOI: http://dx.doi.org/10.1080/13504851.2018.1495818 https://doi.org/10.1080/13504851.2018.1495818
- Red Women on the Silver Screen. Turovskaya, Maya. (1993). "Women’s Cinema” in the USSR In: Pandora Press, pp. 141–48.
- The Portrayal of Female Characters in the Star Wars Film Saga. Vainikka, Vilma. (2018). University of Eastern Finland. https://erepo.uef.fi/bitstream/handle/123456789/19480/urn_nbn_fi_uef-20180653.pdf?sequence=-1
- Re-Distributing Gender in the Global Film Industry: Beyond #MeToo and #MeThree. Media Industries Journal. Verhoeven, Deb; Coate, Bronwyn; Zemaityte, Vejune. (2019). University of Michigan Library, Jun 3 2019 6 (1) 2373-9037 DOI: http://dx.doi.org/10.3998/mij.15031809.0006.108 https://doi.org/10.3998/mij.15031809.0006.108
- Red Women on the Silver Screen. Vizitei, Maria. (1993). From Film School to Film Studio: Women and Cinematography in the Era of Perestroika’ In: Pandora Press, pp. 215–24.
- The Money Issue. Gender Equality Report 2018. The Swedish Film Institute, Wikstrand, J.. (2018).
- А Бабы Здесь Тихие. Тестом Бехдель По Нашему Кино, 2021-2-20 https://bechdelru.wordpress.com Accessed 20 Feb. 2021..
- Кинорежиссерки в современном мире. Артюх, Анжелика. (2021). Новое Литературное Обозрение.
- КиноПоиск. https://www.kinopoisk.ru/
- Формирование базы данных российского кинопроизводства 2019-2020 годов и оценка последствий пандемии. Санкт-Петербургский государственный институт кино и телевидения, Леонтьева, Ксения.. (2022). : 115.





